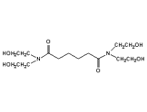
化學名稱:Bis(N,N’-di-ethylhydroxy)adipoyl amide
中文名稱:四羥乙基己二酰二胺
CAS No.:6334-25-4
分 子 式:C14H28N2O6
分 子 量:320.38
結 構 式:

1. 無毒性
2. 效率高
羥烷基酰胺-552 CAS :6334-25-4是一種用于熱塑性固體粉體涂料的交聯固化劑。該產品為低毒性,對眼睛及皮膚無刺激,被視為綠色環保產品。作為環保型涂料,是涂料中較新,且快速發展的一個分支。
| 指標名稱 | 單位 | 含量 |
熔點 | [°C] | 120-126 |
干燥失重 | [%] | ≤0.5 |
0H值 | mgKOH/g | 600-725 |
化學名稱 | 四羥乙基己二酰二胺 |
外觀 | 白色粉末 |
保存期限(保存于干燥地方, 溫度為 0-30℃) | 交貨日起 12 個月 |
測試項目 | 測試方法 | 數值 |
抗彎強度 | ISO1519 | ≤ 2.0 |
鉛筆硬度 | ASTMD3363 | ≥ H |
沖擊強度 | ISO6272 | 50 |
60℃ 光澤度 | GB/T9754 | ≥ 90 |
| 加速老化 (800 hrs) | GB/T186 | ≤ 5.0% |
| 涂膜厚度 (mm) | —— | 50-100 |
應用范圍包括:建筑工業、戶外家具、家電行業、電子產品、船舶防腐及汽車行業。
1. 樹酯: P855, P865 of DSM,CC7630, CC7618, CCE37498 of Cytec, etc.
2. 數量: 4-6%.
3. 固化條件:180℃/15min or190℃/10-12min.
4. 建議配方:
Content | Wt(%) |
樹酯(CC7630 of Cytec) | 95.0 |
固化劑 (Aplus 552) | 5.0 |
流平劑 | 1.5 |
消泡劑 | 0.5-1.0 |
鈦白粉 | 20-50 |
使用注意事項
1、與聚酯樹脂的匹配問題
由于RT-52的反應活性較快,不宜采用傳統的TGIC固化型聚酯,而要選用RT-52專用聚酯。
2、涂膜針孔及耐黃變問題
RT-52 在與聚酯固化反應時,有水分子產生,涂膜表面易產生針孔等弊病,普通聚酯不適宜100μm以上的厚涂;另外在配方中加入0.5%左右的脫氣劑,可以達到抑制涂膜針孔的效果。考慮到安息香對涂膜泛黃性的影響,它的用量控制在成膜物總量的0.3%左右,盡量降低使用量,在生產白色或淺色粉末時,配方中加入0.5%左右的抗氧劑,可提高涂膜的耐黃變性能。
3、粉末吸潮上粉問題
由于RT-52是一種親水性化合物,儲存及制備的粉末涂料儲存時,應注意防水、防潮。粉末吸潮后上粉不佳,涂膜附著力差。
RT-PO CAS :75980-60-8是一種高效的裂解型自由基光引發劑......
均苯三甲酸 CAS :554-95-0是一種重要的化工原料......
羥烷基酰胺-552 CAS :6334-25-4是一種用于熱塑性固體粉體涂料的交聯固化劑......